
2주차 수업 내용
▶ 가변수화
- 범주형을 숫자형으로 바꿔주는 것을 의미한다.
- get_dummies( ) 함수를 이용할 수 있다.
▶ 데이터 분할
- x, y
- x : Features, 요인
- y : Target, Label
- Train, Validation, Test
- Train : 모델을 생성할 때 사용한다.
- Validation : 모델의 성능을 검증하는데 사용한다.
- Test : 모델의 성능을 평가하기 위해 사용한다.

▶ 선형회귀 ( Linear Regression)
- 선형회귀( Linear Regression) 란 데이터를 하나의 직선으로 요약한 것
- 단순회귀 (Simple Regression) : 하나의 Feature로 하나의 Target을 예측
- 다중회귀 (Multiple Regression) : 여러개의 Feature로 하나의 Target을 예측
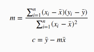
- 해석적 방법 : Least Squares Method
- 최소제곱법을 이용해 회귀 계수를 결정

▶ 모델링 절차
1. 필요한 함수 불러오기

2. 모델 선언

3. 학습

∘ 회귀계수 예측하기

4. 예측

5. 평가

▶ 모델 평가
- 오차의 비로 평가
- 평균 모델의 오차 대비 회귀모델이 해결한 오차의 비율


- 오차의 양과 율로 평가

코드 실습
# 1. 라이브러리 불러오기
import numpy as np
import pandas as pd
import matplotlib.pyplot as plt
from sklearn.model_selection import train_test_split
from sklearn.metrics import *
-----------------------------------------------------------
# 2. 데이터 준비
data = "분석할 데이터파일 불러오기"
target = '예측하고 싶은 변수'
x = data.drop(target, axis=1) # axis=0 행, 1 열
y = data.loc[:, target]
## 가변수화
cat_cols = ['가변수화 할 변수']
x_cat = pd.get_dummies(x, columns=cat_cols, drop_first=True)
## 데이터 분할
x_train, x_val, y_train, y_val = train_test_split(x_cat, y, test_size = .3, random_state = 20)
------------------------------------------------------------------------------------------
# 3. 모델링
from sklearn.linear_model import LinearRegression
## 모델선언
model = LinearRegression()
## 모델 학습
model.fit(x_train, y_train)
## 회귀계수 확인
print('회귀계수 : ', model1.coef_)
print('절편 : ', model1.intercept_)
## 모델 예측
pred = model.predict(x_val)
## 모델 평가
r2_score(y_val, pred1) # R2 Score
mean_absolute_error(y_val, pred1) # MAE
mean_squared_error( y_val, pred1) # MSE
BDA 학회 플랫폼
https://www.instagram.com/official.bdaa/
로그인 • Instagram
www.instagram.com

BDA 학회의 인스타그램입니다.
빅데이터 분석 학회인 만큼 데이터에 관련된 정보가 많이 올라오는데요,
데이터 분석 관련 공모전, 채용 공고, 데이터 용어 등 다양한 콘텐츠를 확인할 수 있습니다.
데이터 직무에 관심이 있으시다면 한번 둘러보시는것도 좋을거같아요.
'대외활동' 카테고리의 다른 글
| [BDA 11기] 데이터 분석 모델링반 ML1 5주차 (0) | 2025.11.17 |
|---|---|
| [BDA 11기] 데이터 분석 모델링반 ML1 4주차 (0) | 2025.10.13 |
| [BDA 11기]데이터 분석 모델링반 ML1 3주차 (1) | 2025.09.22 |
| [BDA 11기] 데이터 분석 모델링반 ML1 1주차 (1) | 2025.09.15 |